An Adaptive OCV-SOC Curve Selection Classifier for Battery State-of-Charge Estimation

摘要

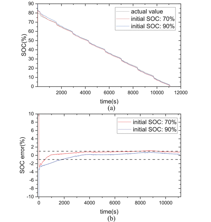
The State-of-Charge (SOC) estimation of lithium-ion batteries is crucial in battery management systems (BMS) for energy storage power stations. The open-circuit voltage (OCV)-SOC curve and the SOC estimation algorithm are important in SOC estimation. There exist two common OCV tests, including the low current OCV test and the incremental OCV test, for OCV-SOC curve acquirement, whose performances vary with different working conditions under 25℃. To make SOC estimation more effective, the least squares support vector machines (LS-SVM) method is presented as an adaptive classifier to decide which OCV test should be applied. Besides, an adaptive square-root unscented Kalman filter (ASRUKF) algorithm is proposed to improve square-root unscented Kalman filter (SRUKF) algorithm by updating the noise covariance matrixes in real-time. Based on the Center for Advanced Life Cycle Engineering (CALCE) public data set of University of Maryland of the 18650 LFP battery under 0℃,25℃ and 45℃, the SOC estimation algorithm based on adaptive OCV-SOC curve selection classifier is demonstrated to be precise, quick, robust and adaptive.

出版物
2021 3rd International Conference on Smart Power & Internet Energy Systems (SPIES)
居铃泠
居铃泠
硕士

居铃泠,硕士在读,研究方向为锂离子电池非侵入式检测。

耿光超
耿光超
教授 | 博士生导师

耿光超,工学博士,浙江大学电气工程学院教授、博士生导师,电机工程学系副主任,电力系统自动化所副所长,电气工程学院特聘助理,IEEE高级会员。

江全元
江全元
教授 | 博士生导师

江全元,博士、浙江大学电气工程学院教授,博士生导师,浙江省重点实验室(海洋可再生能源电气装备与系统技术研究实验室)副主任,中国电工技术学会电力系统控制与保护专业委员会委员。

龚裕仲
龚裕仲
正高级工程师